ads/auto.txt

Domain And Range Of Inverse Trig Functions Calculator

Transforming Inverse Reciprocal Trig Functions Trigonometric Functions Trigonometry Ap Calculus Ab

Transforming Inverse Reciprocal Trig Functions Trigonometric Functions Trigonometry Ap Calculus Ab

Transforming Inverse Trig Functions Inverse Functions Trigonometric Functions Trigonometry

Transforming Inverse Trig Functions Inverse Functions Trigonometric Functions Trigonometry

Finding Inverse Trig Functions On A Calculator Calculator Trigonometry Math Tutorials

Finding Inverse Trig Functions On A Calculator Calculator Trigonometry Math Tutorials

Inverse Tan And Cot Graphs Trigonometric Functions Trigonometry Math Practices

Inverse Tan And Cot Graphs Trigonometric Functions Trigonometry Math Practices

Graphing Inverse Trigonometric Functions Basic Introduction Domain And Range Trigonometry Youtube Trigonometric Functions Trigonometry Graphing

Graphing Inverse Trigonometric Functions Basic Introduction Domain And Range Trigonometry Youtube Trigonometric Functions Trigonometry Graphing

Http Www Aplustopper Com Inverse Trigonometric Functions Trigonometric Functions Math Formulas Algebra Formulas

Http Www Aplustopper Com Inverse Trigonometric Functions Trigonometric Functions Math Formulas Algebra Formulas

Http Www Aplustopper Com Inverse Trigonometric Functions Trigonometric Functions Math Formulas Algebra Formulas

Domain and range of trigonometric functions domain and range of inverse trigonometric functions.

Domain and range of inverse trig functions calculator. Click on the little circles next to the equations to turn them on and off. Calculate arcsine arccosine arctangent arccotangent arcsecant and arccosecant for values of x and get answers in degrees ratians and pi. Graphs for inverse trigonometric functions.

What is domain and range. Solving word problems in trigonometry. By using this website you agree to our cookie policy.

Extreme care should be taken where examining identities involving inverse trigonometric functions since their range of applicability or precise form may differ. Next using the a and b sliders on the x axis restrict the domain of the function so. If the function is one to one there will be a unique inverse.

It has been explained clearly below. The calculator will find the inverse of the given function with steps shown. Already we know the range of sin x.

Domain and range for inverse trig functions. That is range of sin x is 1 1 and also we know the fact domain of inverse function range of the function. For example a function that is defined for real values in has domain and is sometimes said to be a function over.

The angle s measure in sine function is restricted by domain but in its inverse. Free functions domain calculator find functions domain step by step this website uses cookies to ensure you get the best experience. Sum of the angle in a triangle is 180 degree.

Pin On Trigonometry Lesson Ideas

Pin On Trigonometry Lesson Ideas

Studywalk Mathematical Formula Inverse Trigonometric Functions Www Studywalk Com Trigonometric Functions Learning Mathematics Algebra Formulas

Studywalk Mathematical Formula Inverse Trigonometric Functions Www Studywalk Com Trigonometric Functions Learning Mathematics Algebra Formulas

Composite Inverse Trig Functions Non Special Angles Trigonometric Functions Practices Worksheets Algebraic Expressions

Composite Inverse Trig Functions Non Special Angles Trigonometric Functions Practices Worksheets Algebraic Expressions

The Inverse Trigonometric Functions Algebraic Expressions

The Inverse Trigonometric Functions Algebraic Expressions

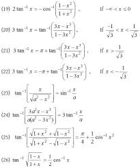
What Are The Inverse Trigonometric Functions A Plus Topper Trigonometric Functions Ap Calculus Ab Functions Math

What Are The Inverse Trigonometric Functions A Plus Topper Trigonometric Functions Ap Calculus Ab Functions Math

Inverse Sin And Cos Graphs Trigonometric Functions Graphing Trigonometry

Inverse Sin And Cos Graphs Trigonometric Functions Graphing Trigonometry

Transforming Inverse Reciprocal Trig Functions Trigonometric Functions Trigonometry Ap Calculus Ab

Transforming Inverse Reciprocal Trig Functions Trigonometric Functions Trigonometry Ap Calculus Ab

Pin On Math

Pin On Math

The Inverse Trigonometric Functions She Loves Math Trigonometric Functions Love Math Algebraic Expressions

The Inverse Trigonometric Functions She Loves Math Trigonometric Functions Love Math Algebraic Expressions

What Are The Inverse Trigonometric Functions A Plus Topper In 2020 Trigonometric Functions Studying Math Math Formulas

What Are The Inverse Trigonometric Functions A Plus Topper In 2020 Trigonometric Functions Studying Math Math Formulas

For Students Great Table With Parent Functions Of Trig Functions And More Trigfunctions Parentfunctio Math Methods Trigonometric Functions Parent Functions

For Students Great Table With Parent Functions Of Trig Functions And More Trigfunctions Parentfunctio Math Methods Trigonometric Functions Parent Functions

Inverse Tan And Cot Graphs Trigonometric Functions Trigonometry Math Practices

Inverse Tan And Cot Graphs Trigonometric Functions Trigonometry Math Practices

Http Www Aplustopper Com Inverse Trigonometric Functions Trigonometric Functions Mathematics Worksheets Studying Math

Http Www Aplustopper Com Inverse Trigonometric Functions Trigonometric Functions Mathematics Worksheets Studying Math

Transformations Of Csc And Sec Functions Creative Math Math Foldables Trigonometry

Transformations Of Csc And Sec Functions Creative Math Math Foldables Trigonometry

Source : pinterest.com