ads/auto.txt

Domain And Range Of Inverse Trigonometric Functions

The Inverse Hashtag Trigonometric Functions Are The Inverse Functions Of The Trigonometric Functions Written As Math Methods Math Formula Chart Studying Math

The Inverse Hashtag Trigonometric Functions Are The Inverse Functions Of The Trigonometric Functions Written As Math Methods Math Formula Chart Studying Math

Pin On Math

Pin On Math

Http Www Aplustopper Com Inverse Trigonometric Functions Trigonometric Functions Studying Math Mathematics Worksheets

Http Www Aplustopper Com Inverse Trigonometric Functions Trigonometric Functions Studying Math Mathematics Worksheets

Studywalk Mathematical Formula Inverse Trigonometric Functions Www Studywalk Com Trigonometric Functions Learning Mathematics Algebra Formulas

Studywalk Mathematical Formula Inverse Trigonometric Functions Www Studywalk Com Trigonometric Functions Learning Mathematics Algebra Formulas

Http Www Aplustopper Com Inverse Trigonometric Functions Trigonometric Functions Math Formulas Algebra Formulas

Http Www Aplustopper Com Inverse Trigonometric Functions Trigonometric Functions Math Formulas Algebra Formulas

Inverse Trigonometric Functions 10 Trigonometric Functions Mathematics Worksheets Math Formulas

Inverse Trigonometric Functions 10 Trigonometric Functions Mathematics Worksheets Math Formulas

Inverse Trigonometric Functions 10 Trigonometric Functions Mathematics Worksheets Math Formulas

The notation for these inverse functions uses capital letters.

Domain and range of inverse trigonometric functions. The range of a function is the list of all possible outputs y values of the function. Cos 1 x means cos xwhen 1 x 1 and 0 ˇ 3. Domain and range of general functions the domain of a function is the list of all possible inputs x values to the function.

The range of a function is the set of outputs that a function generates given the domain. The domain of an inverse function is the range of the original function and the range of an inverse function is the domain of the original function. The quadrants are selected this way for the inverse trig functions because the pairs are adjacent quadrants allowing for both positive and negative entries.

Domain and range of inverse sine function. Types of angles types of triangles. Sin 1 x cos 1 x tan 1 x etc.

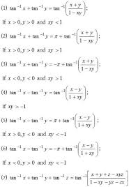
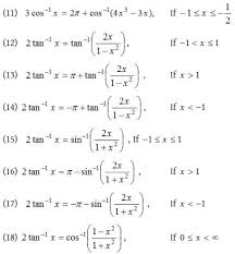
Inverse trigonometric functions 37 thus cosec 1 can be defined as a function whose domain is r 1 1 and range could be any of the intervals 3 2 2 π π π π π 2 2 0 3 2 2 π π π etc. Domain and range of trigonometric functions domain and range of inverse trigonometric functions. To make the students to understand domain and range of a trigonometric function we have given a table which clearly says the domain and range of trigonometric functions.

Inverse trigonometric functions in maths trigonometry is a measurement of triangle and it is included with inverse functions. In mathematics the inverse trigonometric functions occasionally also called arcus functions antitrigonometric functions or cyclometric functions are the inverse functions of the trigonometric functions with suitably restricted domains specifically they are the inverses of the sine cosine tangent cotangent secant and cosecant functions and are used to obtain an angle from any of. Graphically speaking the domain is the portion of the.

The domain for sin 1 x or arcsin x is from 1 to 1. Domain of sin x and cos x in any right angle triangle we can define the following six trigonometric ratios. Because the trigonometric functions are not one to one on their natural domains inverse trigonometric functions are defined for restricted domains.

What Are The Inverse Trigonometric Functions A Plus Topper In 2020 Trigonometric Functions Studying Math Math Formulas

What Are The Inverse Trigonometric Functions A Plus Topper In 2020 Trigonometric Functions Studying Math Math Formulas

Http Www Aplustopper Com Inverse Trigonometric Functions Trigonometric Functions Mathematics Worksheets Studying Math

Http Www Aplustopper Com Inverse Trigonometric Functions Trigonometric Functions Mathematics Worksheets Studying Math

Studywalk Mathematical Formula Inverse Trigonometric Functions Www Studywalk Com Math In 2020 Trigonometric Functions Mathematics Worksheets Mathematics Geometry

Studywalk Mathematical Formula Inverse Trigonometric Functions Www Studywalk Com Math In 2020 Trigonometric Functions Mathematics Worksheets Mathematics Geometry

Http Www Aplustopper Com Inverse Trigonometric Functions Trigonometric Functions Mathematics Worksheets Studying Math

Http Www Aplustopper Com Inverse Trigonometric Functions Trigonometric Functions Mathematics Worksheets Studying Math

Inverse Trigonometric Functions Class 12 Notes Maths Chapter 2 Learn Cbse Cbsenotes Cbseclass12m Trigonometric Functions Math Formula Chart Class 12 Maths

Inverse Trigonometric Functions Class 12 Notes Maths Chapter 2 Learn Cbse Cbsenotes Cbseclass12m Trigonometric Functions Math Formula Chart Class 12 Maths

Transforming Inverse Trig Functions Inverse Functions Trigonometric Functions Trigonometry

Transforming Inverse Trig Functions Inverse Functions Trigonometric Functions Trigonometry

Transforming Inverse Reciprocal Trig Functions Trigonometric Functions Trigonometry Ap Calculus Ab

Transforming Inverse Reciprocal Trig Functions Trigonometric Functions Trigonometry Ap Calculus Ab

Inverse Tan And Cot Graphs Trigonometric Functions Trigonometry Math Practices

Inverse Tan And Cot Graphs Trigonometric Functions Trigonometry Math Practices

Inverse Trigonometric Functions Class 12 Notes Maths Chapter 2 Learn Cbse Cbsenotes Cbseclass12mathsnotes Trigonometric Functions Math Notes Studying Math

Inverse Trigonometric Functions Class 12 Notes Maths Chapter 2 Learn Cbse Cbsenotes Cbseclass12mathsnotes Trigonometric Functions Math Notes Studying Math

What Are The Inverse Trigonometric Functions A Plus Topper Trigonometric Functions Math Formulas Maths Formulas List

What Are The Inverse Trigonometric Functions A Plus Topper Trigonometric Functions Math Formulas Maths Formulas List

Inverse Sin And Cos Graphs Trigonometric Functions Graphing Trigonometry

Inverse Sin And Cos Graphs Trigonometric Functions Graphing Trigonometry

What Are The Inverse Trigonometric Functions A Plus Topper In 2020 Trigonometric Functions Studying Math Math Formulas

What Are The Inverse Trigonometric Functions A Plus Topper In 2020 Trigonometric Functions Studying Math Math Formulas

What Are The Inverse Trigonometric Functions A Plus Topper In 2020 Trigonometric Functions Studying Math Math Formulas

What Are The Inverse Trigonometric Functions A Plus Topper In 2020 Trigonometric Functions Studying Math Math Formulas

Graphing Inverse Trigonometric Functions Basic Introduction Domain And Range Trigonometry Youtube Trigonometric Functions Trigonometry Graphing

Graphing Inverse Trigonometric Functions Basic Introduction Domain And Range Trigonometry Youtube Trigonometric Functions Trigonometry Graphing

Source : pinterest.com