ads/auto.txt

Domain And Range Of Trigonometric Functions Class 11

List Of Formula 01 Grade 11 Trigonometry Formulae Formulas Math Formula Chart Maths Formulas List Math Formulas

List Of Formula 01 Grade 11 Trigonometry Formulae Formulas Math Formula Chart Maths Formulas List Math Formulas

Rd Sharma Class 11 Solutions Chapter 7 Trigonometric Ratios Of Compound Angles Ex 7 1 Q 1 Iii Maths Solutions Solutions Trigonometric Functions

Rd Sharma Class 11 Solutions Chapter 7 Trigonometric Ratios Of Compound Angles Ex 7 1 Q 1 Iii Maths Solutions Solutions Trigonometric Functions

Trigonometric Function In 2020 Trigonometric Functions Mathematics Worksheets Mathematics Geometry

Trigonometric Function In 2020 Trigonometric Functions Mathematics Worksheets Mathematics Geometry

Pin On Math

Pin On Math

Inverse Trigonometric Functions Class 12 Notes Maths Chapter 2 Learn Cbse Class12mathsnotes Inver Trigonometric Functions Math Formula Chart Class 12 Maths

Inverse Trigonometric Functions Class 12 Notes Maths Chapter 2 Learn Cbse Class12mathsnotes Inver Trigonometric Functions Math Formula Chart Class 12 Maths

Http Www Aplustopper Com Inverse Trigonometric Functions Trigonometric Functions Studying Math Mathematics Worksheets

Http Www Aplustopper Com Inverse Trigonometric Functions Trigonometric Functions Studying Math Mathematics Worksheets

Http Www Aplustopper Com Inverse Trigonometric Functions Trigonometric Functions Studying Math Mathematics Worksheets

Here you can get class 11 important questions maths based on ncert text book for class xi maths class 11 important questions are very helpful to score high marks in board exams.

Domain and range of trigonometric functions class 11. It is defined for all real values of x range. Using the table we can observe that sin cos are defined for all real numbers. Domain range of trigonometric functions.

Here we have covered important questions on relations and functions for class 11 maths subject. To make the students to understand domain and range of a trigonometric function we have given a table which clearly says the domain and range of trigonometric functions. Class 11cbse board domain and range of trigonometric functions learnnext offers animated video lessons with neatly explained examples study material free ncert solutions exercises and tests.

Class 11 maths trigonometric functions. The range of f x sin x and f x cos x will lie from 1 to 1 including both 1 and 1 i e. The extension of trigonometric ratios to any angle in terms of radian measure real number are called trigonometric function.

Maths important questions class 11 are given below. Sine function y f x sin x domain. Short answer type questions.

1 maths trigonometry part 7 domain and range of functions cbse class 11 mathematics xi 2 domain range and signs of trigonometric function 3 core 2 graphs of trigonometric functions 1 basic intro to trig graphs sin x cos x tan x. Hence for the trigonometric functions f x sin x and f x cos x the domain will consist of the entire set of real numbers as they are defined for all the real numbers. Further we observe that for each real number x 1 sin x 1 and 1 cos x 1.

Trigonometric functions domain range and graphs class 11 maths chapter 3 trigonometry 3 4 trigonometry for class 11 arvind academy. Trigonometric functions class 11 maths notes trigonometric ratios are defined for acute angles as the ratio of the sides of a right angled triangle.

Studywalk Mathematical Formula Inverse Trigonometric Functions Www Studywalk Com Algebra Formulas Studying Math Math Formulas

Studywalk Mathematical Formula Inverse Trigonometric Functions Www Studywalk Com Algebra Formulas Studying Math Math Formulas

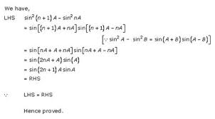
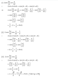
Rd Sharma Class 11 Solutions Chapter 7 Trigonometric Ratios Of Compound Angles Ex 7 1 Q 8 Ii Solutions Trigonometric Functions Class

Rd Sharma Class 11 Solutions Chapter 7 Trigonometric Ratios Of Compound Angles Ex 7 1 Q 8 Ii Solutions Trigonometric Functions Class

Inverse Trigonometric Functions 10 Trigonometric Functions Mathematics Worksheets Math Formulas

Inverse Trigonometric Functions 10 Trigonometric Functions Mathematics Worksheets Math Formulas

Ncert Solutions For Class 11 Maths Chapter 3 Trigonometric Functions Ex 3 4 Cbsetuts Com Ncertsolutions Ncertsoluti Trigonometric Functions Math Solutions

Ncert Solutions For Class 11 Maths Chapter 3 Trigonometric Functions Ex 3 4 Cbsetuts Com Ncertsolutions Ncertsoluti Trigonometric Functions Math Solutions

6 Trigonometric Functions Graphed Trigonometry Trigonometry Help Graphing Trigonometric Functions

6 Trigonometric Functions Graphed Trigonometry Trigonometry Help Graphing Trigonometric Functions

Pin On Free Download

Pin On Free Download

Inverse Trigonometric Functions 13 Trigonometric Functions Math Formulas Algebra Formulas

Inverse Trigonometric Functions 13 Trigonometric Functions Math Formulas Algebra Formulas

Pin On Art

Pin On Art

Rd Sharma Class 11 Solutions Chapter 8 Transformation Formulae Studying Math Math Books Class 12 Maths

Rd Sharma Class 11 Solutions Chapter 8 Transformation Formulae Studying Math Math Books Class 12 Maths

Pin On Trigonometric Functions

Pin On Trigonometric Functions

Inverse Trigonometric Functions Class 12 Notes Maths Chapter 2 1 Trigonometric Functions Math Notes Math

Inverse Trigonometric Functions Class 12 Notes Maths Chapter 2 1 Trigonometric Functions Math Notes Math

Inverse Trigonometric Functions 11 Trigonometric Functions Math Tutorials Studying Math

Inverse Trigonometric Functions 11 Trigonometric Functions Math Tutorials Studying Math

What Are The Inverse Trigonometric Functions A Plus Topper In 2020 Trigonometric Functions Studying Math Math Formulas

What Are The Inverse Trigonometric Functions A Plus Topper In 2020 Trigonometric Functions Studying Math Math Formulas

Ncert Solutions For Class 11 Maths Chapter 4 Principle Of Mathematical Induction 5 Ncertsolu Mathematical Induction Maths Ncert Solutions Algebra Equations

Ncert Solutions For Class 11 Maths Chapter 4 Principle Of Mathematical Induction 5 Ncertsolu Mathematical Induction Maths Ncert Solutions Algebra Equations

Source : pinterest.com