ads/auto.txt

Domain And Range Questions Class 11

Class 11 Important Questions For Maths Relations And Functions Math Relation Relatable Math

Class 11 Important Questions For Maths Relations And Functions Math Relation Relatable Math

Cbse 2013 2014 Class 11 Half Yearly Question Papers Maths Question Paper This Or That Questions Math

Cbse 2013 2014 Class 11 Half Yearly Question Papers Maths Question Paper This Or That Questions Math

Identifying Functions From Ordered Pairs Worksheets Algebra Worksheets Identifying Functions Math Exercises

Identifying Functions From Ordered Pairs Worksheets Algebra Worksheets Identifying Functions Math Exercises

Http Www Mathworksheets4kids Com Function Domain Range Large Png Practices Worksheets Graphing Algebra Worksheets

Http Www Mathworksheets4kids Com Function Domain Range Large Png Practices Worksheets Graphing Algebra Worksheets

Domain And Range Foldable Notes Math Formulas Foldables Teaching Math

Domain And Range Foldable Notes Math Formulas Foldables Teaching Math

Relations Functions And Domain And Range 7th 10th Grade Worksheet Worksheets Graphing Functions Algebra

Relations Functions And Domain And Range 7th 10th Grade Worksheet Worksheets Graphing Functions Algebra

Relations Functions And Domain And Range 7th 10th Grade Worksheet Worksheets Graphing Functions Algebra

Let s have a look at domain and range that is given in detail here.

Domain and range questions class 11. Graphing rational functions with holes. Also state the domain and range of the logarithmic function. College algebra questions on finding the domain and range of functions with answers are presented.

Relations and its types. Express y b x in logarithmic form. Important questions answers for class 11 maths chapter 2 relations and functions.

Decimal representation of rational numbers. Free pdf download of important questions with solutions for cbse class 11 maths chapter 2 relations and functions prepared by expert maths teachers from latest edition of cbse ncert books. Domain of f r range of f 1 0 1.

Logarithm questions and answers class 11 1 let b 0 and b 1. 1 maths trigonometry part 7 domain and range of functions cbse class 11 mathematics xi 2 domain range and signs of trigonometric function 3 core 2 graphs of trigonometric functions 1 basic intro to trig graphs sin x cos x tan x. It is defined for all real values of x range.

Domain and range of rational functions. College algebra questions with answers sample 5. The real function f.

Ncert exemplar class 11 maths is very important resource for students preparing for xi board examination. Domain and range relations. Sine function y f x sin x domain.

Ncert Solutions For Class 11 Maths Chapter 1 Sets Miscellaneous Exercise Cbsetuts Com Class11mathsncertsolutionschapter1 Math Vocabulary Math Formulas Math

Ncert Solutions For Class 11 Maths Chapter 1 Sets Miscellaneous Exercise Cbsetuts Com Class11mathsncertsolutionschapter1 Math Vocabulary Math Formulas Math

Ncert Solutions For Class 11 Maths Chapter 9 Sequences And Series 65 Ncertsolutionsforclass11maths Maths Ncert Solutions Studying Math Math Formula Chart

Ncert Solutions For Class 11 Maths Chapter 9 Sequences And Series 65 Ncertsolutionsforclass11maths Maths Ncert Solutions Studying Math Math Formula Chart

Circuit Training Domain And Range Algebra Quadratics Algebra Training Teachers

Circuit Training Domain And Range Algebra Quadratics Algebra Training Teachers

Ncert Solutions For Class 11 Maths Chapter 3 Trigonometric Functions Ex 3 4 Cbsetuts Com Ncertsolutions Ncertsoluti Trigonometric Functions Math Solutions

Ncert Solutions For Class 11 Maths Chapter 3 Trigonometric Functions Ex 3 4 Cbsetuts Com Ncertsolutions Ncertsoluti Trigonometric Functions Math Solutions

Function Worksheets Practices Worksheets Graphing Functions Linear Function

Function Worksheets Practices Worksheets Graphing Functions Linear Function

Ncert Solutions For Class 11 Maths Chapter 4 Principle Of Mathematical Induction 5 Ncertsolu Mathematical Induction Maths Ncert Solutions Algebra Equations

Ncert Solutions For Class 11 Maths Chapter 4 Principle Of Mathematical Induction 5 Ncertsolu Mathematical Induction Maths Ncert Solutions Algebra Equations

Rd Sharma Class 11 Solutions Chapter 23 Straight Lines Ex 23 17 Maths Solutions Studying Math Solutions

Rd Sharma Class 11 Solutions Chapter 23 Straight Lines Ex 23 17 Maths Solutions Studying Math Solutions

Rbse Solutions For Class 11 Maths Chapter 8 Sequence Progression And Series Ex 8 6 In 2020 Studying Math Math Algebra Equations

Rbse Solutions For Class 11 Maths Chapter 8 Sequence Progression And Series Ex 8 6 In 2020 Studying Math Math Algebra Equations

Domain And Range From Graph Khan Academy Interpreting Motion Graphs Solving Quadratic Equations Chemistry Worksheets

Domain And Range From Graph Khan Academy Interpreting Motion Graphs Solving Quadratic Equations Chemistry Worksheets

Rd Sharma Class 11 Solutions Chapter 7 Trigonometric Ratios Of Compound Angles Ex 7 1 Q 1 Iii Maths Solutions Solutions Trigonometric Functions

Rd Sharma Class 11 Solutions Chapter 7 Trigonometric Ratios Of Compound Angles Ex 7 1 Q 1 Iii Maths Solutions Solutions Trigonometric Functions

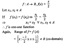
Rbse Solutions For Class 11 Maths Chapter 2 Relations And Functions Ex 2 4 Rbsesolutions Rbseclass11maths Rajasthanboardclass11maths Math Chapter Relatable

Rbse Solutions For Class 11 Maths Chapter 2 Relations And Functions Ex 2 4 Rbsesolutions Rbseclass11maths Rajasthanboardclass11maths Math Chapter Relatable

Rbse Solutions For Class 11 Maths Chapter 10 Limits And Derivatives Miscellaneous Exercise Rbsesolutionsforclass11 In 2020 Studying Math Math Physics And Mathematics

Rbse Solutions For Class 11 Maths Chapter 10 Limits And Derivatives Miscellaneous Exercise Rbsesolutionsforclass11 In 2020 Studying Math Math Physics And Mathematics

An Introduction To Functions Quiz 11 Questions It Covers The Following Questions Complete The Sentence Identify The Do This Or That Questions Function Quiz

An Introduction To Functions Quiz 11 Questions It Covers The Following Questions Complete The Sentence Identify The Do This Or That Questions Function Quiz

Rbse Solutions For Class 11 Maths Chapter 7 Binomial Theorem Miscellaneous Exercise Https Www Rbsesolutions Com Class 11 Maths Binomial Theorem Math Theorems

Rbse Solutions For Class 11 Maths Chapter 7 Binomial Theorem Miscellaneous Exercise Https Www Rbsesolutions Com Class 11 Maths Binomial Theorem Math Theorems

Source : pinterest.com