ads/auto.txt

Domain Of Bessel Function Order 1

Video 2733 Bessel Function Of Order One Power Series Domain Practice Youtube

Video 2733 Bessel Function Of Order One Power Series Domain Practice Youtube

Pin On Science Health

Pin On Science Health

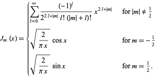
Bessel Function Of The First Kind From Wolfram Mathworld

Bessel Function Of The First Kind From Wolfram Mathworld

Solved Find The Domain Of The Bessel Function Of Order 0 Chegg Com

Solved Find The Domain Of The Bessel Function Of Order 0 Chegg Com

Solved Example 3 Find The Domain Of The Bessel Function O Chegg Com

Solved Example 3 Find The Domain Of The Bessel Function O Chegg Com

Solved Example 3 Find The Domain Of The Bessel Function O Chegg Com

Solved Example 3 Find The Domain Of The Bessel Function O Chegg Com

Solved Example 3 Find The Domain Of The Bessel Function O Chegg Com

Again different sub sets of functions.

Domain of bessel function order 1. Find the domain of the bessel function of order 1. We are going to construct the independent solutions for x 0. The modi ed bessel functions of the second kind for orders 0 to 5 4 and second kind have an in nite number of zeros as the value of xgoes to 1.

The hankel transform of order of a function f r is given by where is the bessel function of the first kind of order with the inverse hankel transform of f ν k is defined as which can be readily verified using the orthogonality relationship described below. And in each one of these sub sets they are different bessel functions of various order. Then thus by the ratio test the given series converges for all values of x.

More precisely it is a regular singular point. Bessel functions of the second kind y ν x also known as weber or neumann func tions which are singular at x 0 the bessel function of the first kind of order ν can be be determined using an infinite power series expansion as follows. Note that x 0 is a singular point of the equation.

First don t confuse bessel functions and modified bessel functions. Attachment preview download attachment. Inverting a hankel transform of a function f r is valid at every.

Bessel functions first defined by the mathematician daniel bernoulli and then generalized by friedrich bessel are canonical solutions y x of bessel s differential equation for an arbitrary complex number α the order of the bessel function. Given the function f x 1 2 x x 2 2 x 3 k 0 a k x k where a 2 k 1 a 2 k 1 2 for any k 0 determine the domain of f and an explicit formula for it. The zeroes of the functions can be seen in the crossing points of the graphs in gure 1 and gure 2.

N 1. Construction of a rst solution. Bessel s equation of order α with α 0 is the second order differential equation 1 x2y xy x2 α2 y 0 in order to find all solutions we need two independent solutions.

Solved Find The Domain Of The Bessel Function Of Order 2 Chegg Com

Solved Find The Domain Of The Bessel Function Of Order 2 Chegg Com

Pdf New Approximations To J0 And J1 Bessel Functions

Pdf New Approximations To J0 And J1 Bessel Functions

Http Onlinelibrary Wiley Com Doi 10 1002 9783527634927 App3 Pdf

Http Onlinelibrary Wiley Com Doi 10 1002 9783527634927 App3 Pdf

Solved 3 58 6 The Bessel Function Of Order Zero Is Def Chegg Com

Solved 3 58 6 The Bessel Function Of Order Zero Is Def Chegg Com

Solved Find The Domain Of The Bessel Function Of Order 0 Chegg Com

Solved Find The Domain Of The Bessel Function Of Order 0 Chegg Com

Pin By Caroline Bowen On Math Euclidean Geometry Math Circle

Pin By Caroline Bowen On Math Euclidean Geometry Math Circle

What If This Is True And Possible Right Now Even In The Midst Of Whatever You Believe Is Going On What Would You Do Diff In 2020 The Power Of Belief

What If This Is True And Possible Right Now Even In The Midst Of Whatever You Believe Is Going On What Would You Do Diff In 2020 The Power Of Belief

Solved The Bessel Function Of The First Kind Of Order Zer Chegg Com

Solved The Bessel Function Of The First Kind Of Order Zer Chegg Com

Pin On Design

Pin On Design

Solved The Function J1 Defined By J1 X 1 Nx2n 1 Chegg Com

Solved The Function J1 Defined By J1 X 1 Nx2n 1 Chegg Com

Special Functions For Scientists And Engineers Mathematics Math Books Engineering

Special Functions For Scientists And Engineers Mathematics Math Books Engineering

Subwoofer Amplifier Circuit Subwoofer Amplifier Circuit Diagram Subwoofer

Subwoofer Amplifier Circuit Subwoofer Amplifier Circuit Diagram Subwoofer

Bessel Functions Are Important In Applications To Chegg Com

Bessel Functions Are Important In Applications To Chegg Com

Introduction To Abstract Algebra Second Edition Pdf Algebra Discrete Mathematics Mathematics

Introduction To Abstract Algebra Second Edition Pdf Algebra Discrete Mathematics Mathematics

Source : pinterest.com