ads/auto.txt

Domain Of Hyperbolic Function

Math Tutor Functions Theory Elementary Functions

Math Tutor Functions Theory Elementary Functions

Inverse Hyperbolic Functions From Wolfram Mathworld

Inverse Hyperbolic Functions From Wolfram Mathworld

6 9 Calculus Of The Hyperbolic Functions Mathematics Libretexts

6 9 Calculus Of The Hyperbolic Functions Mathematics Libretexts

What Is Hyperbolic Function A Plus Topper

What Is Hyperbolic Function A Plus Topper

5 Logarithmic Exponential And Other Transcendental Functions Ppt Download

5 Logarithmic Exponential And Other Transcendental Functions Ppt Download

Answered What Are The Six Basic Hyperbolic Bartleby

Answered What Are The Six Basic Hyperbolic Bartleby

Answered What Are The Six Basic Hyperbolic Bartleby

The hyperbolic functions take a real argument called a hyperbolic angle the size of a hyperbolic angle is twice the area of its hyperbolic sector the hyperbolic functions may be defined in terms of the legs of a right triangle covering this sector.

Domain of hyperbolic function. Hyperbolic functions using osborn s rule which states that cos should be converted into cosh and sin into sinh except when there is a product of two sines when a sign change must be effected. The inverse hyperbolic functions are multiple valued and as in the case of inverse trigonometric functions we restrict ourselves to principal values for which they can be considered as single valued. But sin2a 2sin acos a simply converts to sinh2a 2sinh a cosh a because there is no.

Hyperbolic functions occurs in the calculations of angles and distances in hyperbolic geometry. For example cos2 x 1 2sin2 x can be converted remembering that sin 2 x sin x sin x into cosh2x 1 2sinh2 x. Hyperbolic functions are defined in terms of exponential functions.

Defining f x tanhx 7 5. Ify their domains define the reprocal functions sechx cschx and cothx. Defining f x coshx 2 3.

This is a bit surprising given our initial definitions. In this lesson we ll learn how to draw graphs of hyperbolic functions. Term by term differentiation yields differentiation formulas for the hyperbolic functions.

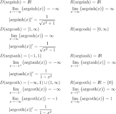
The hyperbolic functions appear with some frequency in applications and are quite similar in many respects to the trigonometric functions. The domains and ranges of the inverse hyperbolic functions are summarized in the following table. Other related functions 9 1 c mathcentre january 9 2006.

In complex analysis the hyperbolic functions arise as the imaginary parts of sine and cosine. These arcs are called branch cuts. Similarly we define the other inverse hyperbolic functions.

Hyperbolic Functions Definitions Identities Derivatives And Inverses Youtube

Hyperbolic Functions Definitions Identities Derivatives And Inverses Youtube

Stpm Further Mathematics T 5 2 Hyperbolic Functions

Stpm Further Mathematics T 5 2 Hyperbolic Functions

Hyperbolic Functions Maths Grade 10 Rought Draft Openstax Cnx

Hyperbolic Functions Maths Grade 10 Rought Draft Openstax Cnx

Section 5 7 Hyperbolic Functions P2p25 7 Inverse Functions Certain Combinations Of The Exponential Functions E X And E X Arise So Frequently In Mathematics Ppt Download

Section 5 7 Hyperbolic Functions P2p25 7 Inverse Functions Certain Combinations Of The Exponential Functions E X And E X Arise So Frequently In Mathematics Ppt Download

Https Sac Edu Facultystaff Homepages Majidkashi Pdf Math 180 Sec 1 4 1 Pdf

Https Sac Edu Facultystaff Homepages Majidkashi Pdf Math 180 Sec 1 4 1 Pdf

Answered 1 What Are The Six Basic Hyperbolic Bartleby

Answered 1 What Are The Six Basic Hyperbolic Bartleby

Fp3 Chapter 1 Hyperbolic Functions Ppt Download

Fp3 Chapter 1 Hyperbolic Functions Ppt Download

Solved How Are The Inverse Hyperbolic Functions Defined Comme Chegg Com

Solved How Are The Inverse Hyperbolic Functions Defined Comme Chegg Com

Https Www Deanza Edu Faculty Kleincharles Documents Hyperbolicfunctionsproblems Pdf

Https Www Deanza Edu Faculty Kleincharles Documents Hyperbolicfunctionsproblems Pdf

Copyright C Cengage Learning All Rights Reserved Ppt Download

Copyright C Cengage Learning All Rights Reserved Ppt Download

Inverse Hyperbolic Functions Ck 12 Foundation

Inverse Hyperbolic Functions Ck 12 Foundation

2 Hyperbolic Functions Further Mathematics Zimbabwe Zimsec Cambridge

2 Hyperbolic Functions Further Mathematics Zimbabwe Zimsec Cambridge

Answered How Are The Inverse Hyperbolic Bartleby

Answered How Are The Inverse Hyperbolic Bartleby

Derivatives Of Inverse Trigonometric Functions

Derivatives Of Inverse Trigonometric Functions

Source : pinterest.com