ads/auto.txt
Domain And Range Of The Function Y 1 2 Sin 3x Youtube

Domain And Range Of The Function Y 1 2 Sin 3x Youtube

Http Www Aplustopper Com Inverse Trigonometric Functions Trigonometric Functions Math Formulas Algebra Formulas

Http Www Aplustopper Com Inverse Trigonometric Functions Trigonometric Functions Math Formulas Algebra Formulas

Find Domain And Range F X 1 2 Sin 3x Math Relations And Functions 4600872 Meritnation Com

Find Domain And Range F X 1 2 Sin 3x Math Relations And Functions 4600872 Meritnation Com

Find Domain And Range Of F X 1 2 Sin3x Math Relations And Functions 12972821 Meritnation Com

Find Domain And Range Of F X 1 2 Sin3x Math Relations And Functions 12972821 Meritnation Com

Find The Domain And Range Of The Function F X 1 2 Sin3x Youtube

Find The Domain And Range Of The Function F X 1 2 Sin3x Youtube

Find The Domain And Range Of F X 1 2 Sin3x And Also Write The Folll Askiitians

Find The Domain And Range Of F X 1 2 Sin3x And Also Write The Folll Askiitians

Find The Domain And Range Of F X 1 2 Sin3x And Also Write The Folll Askiitians

Then plug that answer into the function to find the range.

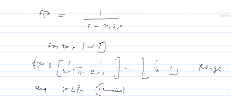
Find the domain and range of the function y 1 2 sin3x. Therefore 2 sin3x 0 for all real x. To find the range of a function first find the x value and y value of the vertex using the formula x b 2a. Add to both sides of the inequality.

The denominator is greater than zero for all real x so the domain of the function is all real numbers. Domain range functions even and odd functions. So sin3x belongs to 1 1.

To ask unlimited maths doubts download doubtnut from https goo gl 9wzjcw find the domain and range of the function f x 1 2 sin3x. The domain is all values of that make the expression defined. To properly notate the range write out the numbers in brackets if they re included in the domain or in parenthesis if they re not included in the domain.

I will suppose so. Modification of work by the u s. Click here to get an answer to your question find the domain the range of the function y 1 2 sin3x y 1 2 sin3x.

The sine function is defined over all real numbers so the only remaining concern would be division by zero 1 sin 3x 1 1 sin 3x 1. The input quantity along the horizontal axis is years which we represent with the variable latex t latex for time. Find the domain and range y square root of x 7.

I e f x is defined for all real x. Which means domain of f x is r set of all real no s. Given f x 1 2 sin3x 1 we know sinp belongs to 1 1 for all real p.

Find The Domain The Range Of The Function Brainly In

Find The Domain The Range Of The Function Brainly In

Solved I Need Help Figuring Out How To Find How Many Solu Chegg Com

Solved I Need Help Figuring Out How To Find How Many Solu Chegg Com

Find Values Of P And Q For Which F X 1 Sin 3x 3cos 2x If X Lt Pi 2 And P Youtube

Find Values Of P And Q For Which F X 1 Sin 3x 3cos 2x If X Lt Pi 2 And P Youtube

Module 4 Circular Function

Module 4 Circular Function

Find Range And Domain Of The Function F X 1 2 Sin3x Brainly In

Find Range And Domain Of The Function F X 1 2 Sin3x Brainly In

Ex 3 4 9 Find General Solution Of Sin X Sin 3x Sin 5x 0

Ex 3 4 9 Find General Solution Of Sin X Sin 3x Sin 5x 0

Ex 2 2 1 3 Sin 1 X Sin 1 3x 4x3 Chapter 2 Inverse

Ex 2 2 1 3 Sin 1 X Sin 1 3x 4x3 Chapter 2 Inverse

Find Domain And Range Of Real Functions 1 F X X 2 3 X 2 F X 1 Sqrt X 5 Youtube

Find Domain And Range Of Real Functions 1 F X X 2 3 X 2 F X 1 Sqrt X 5 Youtube

Https Www Studocu Com En Ca Document Lakehead University Elementary Calculus Past Exams Exam Answers 2017 4087777 View

Https Www Studocu Com En Ca Document Lakehead University Elementary Calculus Past Exams Exam Answers 2017 4087777 View

Ex 6 2 12 Which Functions Are Strictly Decreasing On Ex 6 2

Ex 6 2 12 Which Functions Are Strictly Decreasing On Ex 6 2

Finding Amplitude Period Horizontal And Vertical Shifts Of A Trig Function Ex 1 Youtube

Finding Amplitude Period Horizontal And Vertical Shifts Of A Trig Function Ex 1 Youtube

Http Www Whiteplainspublicschools Org Cms Lib5 Ny01000029 Centricity Domain 360 Triggraphsreviewsolutions 20atw 202015 Pdf

Http Www Whiteplainspublicschools Org Cms Lib5 Ny01000029 Centricity Domain 360 Triggraphsreviewsolutions 20atw 202015 Pdf

Plus One Maths Chapter Wise Previous Questions Chapter 3 Trigonometric Functions A Plus Topper

Plus One Maths Chapter Wise Previous Questions Chapter 3 Trigonometric Functions A Plus Topper

Be A Function F Is Said To Be Even If F A X

Be A Function F Is Said To Be Even If F A X

Source : pinterest.com