ads/auto.txt

Integral Domain Zero Function

Definition Of Integral Domain Chegg Com

Definition Of Integral Domain Chegg Com

Http Facstaff Cbu Edu Wschrein Media M402 20notes M402c13 Pdf

Http Facstaff Cbu Edu Wschrein Media M402 20notes M402c13 Pdf

Integral Domains And Fields

Integral Domains And Fields

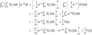
Http Www Ee Ic Ac Uk Pcheung Teaching De2 Ee Lecture 206 20 20systems 20 20laplace 20transform 20 X1 Pdf

Http Www Ee Ic Ac Uk Pcheung Teaching De2 Ee Lecture 206 20 20systems 20 20laplace 20transform 20 X1 Pdf

Chapter 13 Basic Ring Theory Pdf Free Download

Chapter 13 Basic Ring Theory Pdf Free Download

Group Theory 90 Euclidean Domain Every Ed Is A Pid Youtube

Group Theory 90 Euclidean Domain Every Ed Is A Pid Youtube

Group Theory 90 Euclidean Domain Every Ed Is A Pid Youtube

If x i is nonzero we show that the set x i d x.

Integral domain zero function. Every field is an integral domain. At the lower bound as x goes to 0 the function goes to and the upper bound is itself though the function goes to 0 thus this is a doubly improper integral. We prove that the characteristic of an integral domain is either 0 or a prime number.

In z 6z 0 2 3 hence both 2 and 3 are divisors of zero. Sometimes integrals may have two singularities where they are improper. An integral domain is a ring for which the set of nonzero elements is a commutative monoid under multiplication because a monoid must be closed under multiplication.

We can evaluate this integral within comsol multiphysics by using the integrate function which has the syntax. 1 first de nitions and properties de nition 1 1. These are two special kinds of ring definition.

In the ring z 6 we have 2 3 0 and so 2 and 3 are zero divisors. If a b are two ring elements with a b 0 but ab 0 then a and b are called zero divisors. We have to show that every nonzero element of d has a multiplicative inverse.

F x x3 4x2 7x 10. An integral domain is a commutative ring with an identity 1 0. If an integer a is a zero of a polynomial function with integral coefficients and a leading coefficient of 1 then a is a factor of the constant term of the polynomial.

Math a2a math integrating a function over an interval where the line of symmetry is equidistant from the extreme values of the interval i e the line of symmetry begin the midpoint can yield zero. Let d x 0 x 1 x 2. Thus for example 0 is always a zero divisor.

I Is A Prime Ideal Iff R I Is An Integral Domain Proof Math Videos Maths Exam Commutative

I Is A Prime Ideal Iff R I Is An Integral Domain Proof Math Videos Maths Exam Commutative

The Unit Impulse Function

The Unit Impulse Function

Laplace Transform Properties

Laplace Transform Properties

Finite Integral Domain Is A Field Problems In Mathematics

Finite Integral Domain Is A Field Problems In Mathematics

Entire Function Wikipedia

Entire Function Wikipedia

Cauchy S Integral Formula Wikipedia

Cauchy S Integral Formula Wikipedia

Https Www Math Ucla Edu Archristian Teaching 32b W17 Week 6 Pdf

Https Www Math Ucla Edu Archristian Teaching 32b W17 Week 6 Pdf

Integral Domains Abstract Algebra Youtube

Integral Domains Abstract Algebra Youtube

Lebesgue Integration Wikipedia

Lebesgue Integration Wikipedia

Maxima And Minima Of A Function Together Can Be Called As Extrema Maxima And Minima Can Be Defined As Largest And Smallest Of A Func Ap Calculus Math Calculus

Maxima And Minima Of A Function Together Can Be Called As Extrema Maxima And Minima Can Be Defined As Largest And Smallest Of A Func Ap Calculus Math Calculus

Definite Integral Of Piecewise Function Video Khan Academy

Definite Integral Of Piecewise Function Video Khan Academy

2 Let H And K Be Subgroups Of A Group G Show That H K G If And Only If H K Or K H Pdf Free Download

2 Let H And K Be Subgroups Of A Group G Show That H K G If And Only If H K Or K H Pdf Free Download

The Fundamental Theorem Of Calculus And Accumulation Functions Video Khan Academy

The Fundamental Theorem Of Calculus And Accumulation Functions Video Khan Academy

Source : pinterest.com