ads/auto.txt

What Is Domain In Math Brainly

Brainly Com For Students By Students Studying For Finals And Need To Check Your Knowledge Base In A Particular Course Check Funny Baby Quotes Essay Words

Brainly Com For Students By Students Studying For Finals And Need To Check Your Knowledge Base In A Particular Course Check Funny Baby Quotes Essay Words

Domains And Ranges Of Complex Functions Bullet Journal Domain Answers

Domains And Ranges Of Complex Functions Bullet Journal Domain Answers

Pin On Brainly Answers

Pin On Brainly Answers

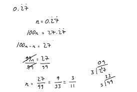
What Is 0 2727272727272727 As A Fraction Math Fractions Answers

What Is 0 2727272727272727 As A Fraction Math Fractions Answers

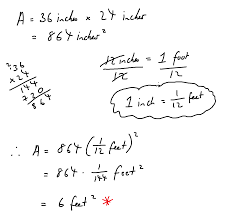
Inches To Feet Problem Foot Problem Math Answers

Inches To Feet Problem Foot Problem Math Answers

Derivative Of E Sin 2theta Math Sins Math Equations

Derivative Of E Sin 2theta Math Sins Math Equations

Derivative Of E Sin 2theta Math Sins Math Equations

2 see answers aryan1234243 aryan1234243 step by step explanation.

What is domain in math brainly. Compare the two relations on the below. In ontology engineering a domain model is a formal representation of a knowledge domain with concepts roles datatypes individuals and rules typically grounded in a description logic. Domain of the function 1 3 5.

In software engineering a domain model is a conceptual model of the domain that incorporates both behaviour and data. Some people find it helpful to think of the domain and range as people in romantic relationships. 1 see answer johnjacobcais johnjacobcais answer.

Answered if r 1 1 2 3 4 5 then domain of the function is. So these two techniques solve the problem of knowing how to find the domain of a function algebraically. Hence the domain in inequality notation is written as 4 x 2.

Find the domain of the function f x sqrt x 4 3 answer. Free math problem solver answers your algebra geometry trigonometry calculus and statistics homework questions with step by step explanations just like a math tutor. Answered what is domain and range in graphing in math 2.

71000922 71000922 2 weeks ago mathematics high school 5 pts. Get the brainly app download ios app. Get the brainly app.

Learn what the domain and range mean and how to determine the domain and range of a given function. The rest of points in the real line are part of the domain simply. Brainly is the place to learn.

Multiplication Problem Multiplication Problems Math Multiplication

Multiplication Problem Multiplication Problems Math Multiplication

What Is Domain In Math Brainly

What Is Domain In Math Brainly

Use What You Know About Domain To Select All Of The Following Functions That Could Be The One Brainly Com

Use What You Know About Domain To Select All Of The Following Functions That Could Be The One Brainly Com

Find The Input And Output Values Of A Function College Algebra

Find The Input And Output Values Of A Function College Algebra

What Is The Domain Indicated On The Graph For Each Portion Of The Piecewise Function 1st Piece Brainly Com

What Is The Domain Indicated On The Graph For Each Portion Of The Piecewise Function 1st Piece Brainly Com

Two Functions Are Represented Below Which Function Has A Domain That Contains The Domain Of The Brainly Com

Two Functions Are Represented Below Which Function Has A Domain That Contains The Domain Of The Brainly Com

The Graph Below Shows Three Functions Which Function Has All Real Numbers As Its Domain Only Brainly Com

The Graph Below Shows Three Functions Which Function Has All Real Numbers As Its Domain Only Brainly Com

Functions Inverse And Composite Functions

Functions Inverse And Composite Functions

Functions F G And H Are Shown On The Graph Which Of These Functions Have A Domain Of All Real Brainly Com

Functions F G And H Are Shown On The Graph Which Of These Functions Have A Domain Of All Real Brainly Com

Picsart Photo Editor Pic Video Collage Maker Add Picture To Picture Best Photo Editing App In 2020 Photo And Video Editor Photo Collage Maker Picture Collage Maker

Picsart Photo Editor Pic Video Collage Maker Add Picture To Picture Best Photo Editing App In 2020 Photo And Video Editor Photo Collage Maker Picture Collage Maker

What Are The Domain And Range Of The Function Below Brainly Com

What Are The Domain And Range Of The Function Below Brainly Com

Photomath In 2020 App Math Apps Teaching Math

Photomath In 2020 App Math Apps Teaching Math

Need Help Asap The Graph Below Shows Three Functions Which Function Has All Real Numbers As It S Brainly Com

Need Help Asap The Graph Below Shows Three Functions Which Function Has All Real Numbers As It S Brainly Com

The Exponential Function G X Is Shown On The Graph Suppose F X X Which Statement Is True When Brainly Com

The Exponential Function G X Is Shown On The Graph Suppose F X X Which Statement Is True When Brainly Com

Source : pinterest.com