ads/auto.txt

Domain And Range Of A Function Organic Chemistry Tutor

Domain And Range Functions Graphs Linear Quadratic Rational Logarithmic Square Root Youtube Quadratics Graphing Functions Graphing

Domain And Range Functions Graphs Linear Quadratic Rational Logarithmic Square Root Youtube Quadratics Graphing Functions Graphing

Inverse Composite Domain And Range Of Functions Math Methods Inverse Functions Functions Activity

Inverse Composite Domain And Range Of Functions Math Methods Inverse Functions Functions Activity

Graphing Inverse Trigonometric Functions Basic Introduction Domain And Range Trigonometry Youtube Trigonometric Functions Trigonometry Graphing

Graphing Inverse Trigonometric Functions Basic Introduction Domain And Range Trigonometry Youtube Trigonometric Functions Trigonometry Graphing

Precalculus Introduction Basic Overview Graphing Parent Functions Transformations Domain Range Youtube Precalculus Parent Functions Rational Function

Precalculus Introduction Basic Overview Graphing Parent Functions Transformations Domain Range Youtube Precalculus Parent Functions Rational Function

Graphing Sine And Cosine Trig Functions With Transformations Phase Shif Precalculus Trigonometry Math Teacher

Graphing Sine And Cosine Trig Functions With Transformations Phase Shif Precalculus Trigonometry Math Teacher

19 How To Find The Domain Of A Function Radicals Fractions Square Roots Interval Notation Youtube In 2020 Square Roots Notations Function Of Roots

19 How To Find The Domain Of A Function Radicals Fractions Square Roots Interval Notation Youtube In 2020 Square Roots Notations Function Of Roots

19 How To Find The Domain Of A Function Radicals Fractions Square Roots Interval Notation Youtube In 2020 Square Roots Notations Function Of Roots

Domain of log x x 2 1 x 2 1 domain.

Domain and range of a function organic chemistry tutor. A table of domain and range of basic functions might be useful to answer the questions below. It s always good to know that my videos are helping you to do well in school. To find the domain of a function just plug the x values into the quadratic formula to get the y output.

Hi everyone welcome to my patreon page. Because the domain refers to the set of possible input values the domain of a graph consists of all the input values shown on the x axis the range is the set of possible output values which are shown on the y axis keep in mind that if the graph continues beyond the portion of the graph we can see the domain and. This algebra video tutorial explains how to find the domain of a function that contains radicals fractions and square roots in the denominator using interv.

This video explains how to find the range of a function. A step by step tutorial with detailed solutions on how to find the domain and range of real valued functions is presented. Find the domain of 1 e 1 x 1 function domain.

You can take a good guess at this point that it is the set of all positive real numbers based on looking at the graph. To avoid ambiguous queries make sure to use parentheses where necessary. This video is unavailable.

Domain and range tips for entering queries. Any donations you wish to provide in. Here are some examples illustrating how to ask for the domain and range.

How to make a table of values on the ti89. First the definitions of these two concepts are presented. Another way to identify the domain and range of functions is by using graphs.

Pictures Of Composition Of Functions Free Images That You Can Download And Use Chemistry Education Function Composition Sat Math

Pictures Of Composition Of Functions Free Images That You Can Download And Use Chemistry Education Function Composition Sat Math

Parent Functions And Transformations She Loves Math Studying Math Math Lessons Teaching Algebra

Parent Functions And Transformations She Loves Math Studying Math Math Lessons Teaching Algebra

Pin On Math

Pin On Math

Graphing Rational Functions Rational Function Teaching Math Teaching Algebra

Graphing Rational Functions Rational Function Teaching Math Teaching Algebra

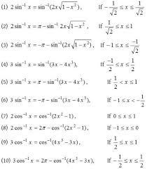
Pin On Math Notes Jee Neet

Pin On Math Notes Jee Neet

Inverse Trigonometric Functions 13 Trigonometric Functions Math Formulas Algebra Formulas

Inverse Trigonometric Functions 13 Trigonometric Functions Math Formulas Algebra Formulas

Graphing Rational Functions Including Asymptotes Rational Function Teaching Algebra Quadratics

Graphing Rational Functions Including Asymptotes Rational Function Teaching Algebra Quadratics

Alkenes Organic Chemistry Tutor Organic Chemistry Study Chemistry Lessons Organic Chemistry Notes

Alkenes Organic Chemistry Tutor Organic Chemistry Study Chemistry Lessons Organic Chemistry Notes

Pin On Algebra

Pin On Algebra

Domain And Range Practice Activity Builder By Desmos Domain Range Practice

Domain And Range Practice Activity Builder By Desmos Domain Range Practice

Chemical Equilibrium Questions And Answers Law Of Mass Action And Van T Hoff Equation Mathematical Expression Study Chemistry Chemistry Notes

Chemical Equilibrium Questions And Answers Law Of Mass Action And Van T Hoff Equation Mathematical Expression Study Chemistry Chemistry Notes

Finding The Range Of Quadratic Functions Doc Quadratics Math Teaching Resources

Finding The Range Of Quadratic Functions Doc Quadratics Math Teaching Resources

Proof Lim Sin X X Calculus Differential Calculus Khan Academy

Proof Lim Sin X X Calculus Differential Calculus Khan Academy

Derivative And Anti Derivative Sheet For Those Who Need A Quick Refresher Math Calculus Stem Studying Math Calculus Math Formulas

Derivative And Anti Derivative Sheet For Those Who Need A Quick Refresher Math Calculus Stem Studying Math Calculus Math Formulas

Source : pinterest.com