ads/auto.txt

Domain Driven Design Ubiquitous Language Example

Agile User Stories And Domain Driven Design Ddd Agile User Story Domain Driven Design Agile Project Management Templates

Agile User Stories And Domain Driven Design Ddd Agile User Story Domain Driven Design Agile Project Management Templates

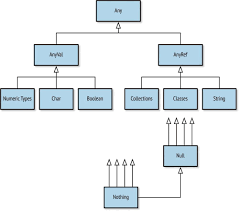
Building Blocks Of Ddd Domain Driven Design Design Software Design

Building Blocks Of Ddd Domain Driven Design Design Software Design

Pin By John Lindo On Domain Driven Design Domain Driven Design Ddd Language

Pin By John Lindo On Domain Driven Design Domain Driven Design Ddd Language

Strategic Domain Driven Design With Context Mapping Context Map Domain Driven Design Software Development

Strategic Domain Driven Design With Context Mapping Context Map Domain Driven Design Software Development

Hands On Domain Driven Design By Example Domain Driven Design Domain Design

Hands On Domain Driven Design By Example Domain Driven Design Domain Design

Putting Apache Kafka To Use A Practical Guide To Building A Streaming Platform Apache Kafka Computer Generation Streaming

Putting Apache Kafka To Use A Practical Guide To Building A Streaming Platform Apache Kafka Computer Generation Streaming

Putting Apache Kafka To Use A Practical Guide To Building A Streaming Platform Apache Kafka Computer Generation Streaming

Usually the dominant one is human culture since models act as ubiquitous language you need a different model when the language changes.

Domain driven design ubiquitous language example. Eric evans book domain driven design introduces the concept of a ubiquitous language a shared common vocabulary that the entire team shares when discussing software. Active 5 years ago. This language should be based on the domain model used in the software hence the need for it to be rigorous since software doesn t cope well with ambiguity.

This entire team is made up of designers developers the product owner and any other domain experts that exist at the organization. It is the focus of ddd s strategic design section which is all about dealing with large models and teams. Domain driven design ubiquitous language february 23 2015 developers will be developers given a requirement they will immediately start to think in terms code classes methods algorithms polymorphism and so on.

Regardless of how your software is designed it will need to reflect a clear and modeled ubiquitous language within a delimited context. This is how we come to an ubiquitous language. I know there are exceptions for example where the domain uses legacy language.

Ask question asked 5 years ago. We create an ubiquitous language dictionary in german when speaking with the domain experts. Ubiquitous language the concept is simple that developers and the business should share a common language that both understand to mean the same things and more importantly that is set in business terminology not technical terminology.

A better domain driven way. Evans makes clear that using the ubiquitous language in conversations with. Domain driven design and ubiquitous language.

Bounded context is a central pattern in domain driven design. Domain driven design ddd is the concept that the structure and language of software code class names class methods class variables should match the business domain for example if a software processes loan applications it might have classes such as loanapplication and customer and methods such as acceptoffer and withdraw. More example of ubiquitous language.

Metadata Standards Typology Image Data Science Controlled Vocabulary Library Classification

Metadata Standards Typology Image Data Science Controlled Vocabulary Library Classification

Building Blocks Of Ddd Domain Driven Design Design Software Design

Building Blocks Of Ddd Domain Driven Design Design Software Design

Spotify S Event Delivery The Road To The Cloud Part I Data Science Spotify Clouds

Spotify S Event Delivery The Road To The Cloud Part I Data Science Spotify Clouds

10 Reasons To Learn Scala And Functional Programming In 2020 Java Programming Tutorials Data Structures Software Development

10 Reasons To Learn Scala And Functional Programming In 2020 Java Programming Tutorials Data Structures Software Development

Pin On Cloud Architecture

Pin On Cloud Architecture

Uml Sequence Diagrams On The Web Sequence Diagram Free Online Tools Diagram

Uml Sequence Diagrams On The Web Sequence Diagram Free Online Tools Diagram

The Microservice Architecture Structures An Application As A Set Of Loosely Coupled Deployable X2f E Enterprise Application Diagram Architecture Architecture

The Microservice Architecture Structures An Application As A Set Of Loosely Coupled Deployable X2f E Enterprise Application Diagram Architecture Architecture

The 30 Minute Business Plan Business Model Canvas Made Easy Maven Ideas Business Model Canvas Business Model Canvas Examples Startup Business Plan

The 30 Minute Business Plan Business Model Canvas Made Easy Maven Ideas Business Model Canvas Business Model Canvas Examples Startup Business Plan

Building Microservices Using An Api Gateway Nginx Software Architecture Diagram Software Architecture Design Diagram Architecture

Building Microservices Using An Api Gateway Nginx Software Architecture Diagram Software Architecture Design Diagram Architecture

Agile Coaching Workshop Acceptance Testing Cross Functional Team Coaching

Agile Coaching Workshop Acceptance Testing Cross Functional Team Coaching

Federated Prometheus Monitor Templates Cluster

Federated Prometheus Monitor Templates Cluster

Cloud Computing Aws Vs Azure A Quick Comparison No Web Agency Cloud Computing Clouds Seo Tutorial

Cloud Computing Aws Vs Azure A Quick Comparison No Web Agency Cloud Computing Clouds Seo Tutorial

A Break In Laravel To Understanding Mvc Architecture Mundointerativo Object Oriented Programming Programming Patterns Business Logic

A Break In Laravel To Understanding Mvc Architecture Mundointerativo Object Oriented Programming Programming Patterns Business Logic

Fjxuyoubddnsfm

Fjxuyoubddnsfm

Source : pinterest.com